发布时间:2018-04-25 14:11:29 来源:
山西中公教育
>>> 山西近期公职类考试信息汇总
山西省考行测:了解你不知道的等差数列
山西人事考试信息网为大家带来山西省考行测:了解你不知道的等差数列,快速解题,学习技巧,灵活运用,在考试中取得优异成绩。
》》公务员行测答题技巧丨申论热点 丨 申论范文精解 丨 公务员申论答题技巧《《
行测指点:了解你不知道的等差数列
在行测考试中有一种题型最常见——计算问题,常见的就是利用等差数列的一些公式解决的问题。所以,中公教育专家跟大家一起来重新认识一次等差数列吧!
等差数列是我们最常见的数列了,对于数列
,若从第二项起,每一项与它的前一项的差等于同一个常数,则这个数列为等差数列,我们把这个常数叫做公差,用d表示,例如我们最熟悉的偶数数列,奇数数列等等,它们的d=2。那么中公教育专家就来整理下等差数列的一些大家熟悉的基本公式:
通项公式:![]()
这是公考常见的两个式子,但是很多同学往往忘记了其他推导式子,例如通项公式除了第1项表示第n项,用中间的某一项也可以表示,把1换成某一项m即可:
推导式子一

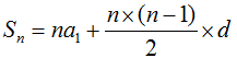
这个式子的好处在于不一定要知道首项和末项才可以求和,知道第一项和公差也可以求和,并且也可以已知前n项和和公差把第一项求出来。其推导过程就是把原来求和公式中的an用通项公式代替即可。
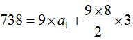
例:已知9个人的分数总和为738,按排名每相邻的两个同学的分数都相差3,问第3名同学的分数?
A.78 B.84 C.88 D.90
中公解析:拿到这道题,如果只知道基本公式那么就头大了,从第二个句子中知道考察等差数列,已知9项和为738,但是却不知到第一次项和第九项怎么办呢?不用担心,用推导式子一就可以算出第一项了!不信你代入式子是不是只有
未知!但是这里要注意,成绩从高到低排名,那么第9名才是对应我们所说的第一项,因此求

得
,相应的,顺数得第3名应该对应倒数第7名,即
选C。
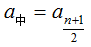
推导式子二
这个式子的好处在于当我们的项数为奇数项的时候计算非常的方便,因为当n为奇数时
的那一项,只需算两个数相乘即可,而且有时候还可以用尾数法快速选答案。
例:已知9个人的分数总和为738,按排名每相邻的两个同学的分数都相差3,问第3名同学的分数?
A.78 B.84 C.88 D.90
中公解析:还是这道题,那么用中项公式会有什么惊喜呢?我们一起来看看!由题目已知
,根据中项公式,n为9是一个奇数,自然反映到可以用中项公式求和,而9项的中间项为第5项,因此S9=738=a5×9,可求出
,因此
,同样选C。计算过程减少了很多!不够?再来看一个试题!
例:已知有连续的15个偶数,若前7项的和为1988,则这15个偶数的和为几?
A.4324 B.4235 C.4380 D.4397
中公解析:连续的偶数构成公差为2的等差数列,已知
,根据中项公式得
,同样根据中项公式可知其中项为
,所以
,结果尾数为0,选C。
中公教育专家希望大家掌握以上技巧,快速反应做出等差数列题。
》》》关注山西中公教育微信shxoffcn,备考问题实时答,考试信息不漏看。
山西公务员行测答题技巧
| 山西公务员考试行测答题技巧 | ||||||
| 山西公务员行测言语理解答题技巧 | ||||||
| 山西公务员行测数量关系答题技巧 | ||||||
| 山西公务员行测判断推理答题技巧 | ||||||
| 山西公务员行测常识判断答题技巧 | ||||||
| 山西公务员行测资料分析答题技巧 |
更多山西公务员行测答题技巧 欢迎访问山西公务员考试网
责任编辑(友兮酒乎)