行测模拟题:行测数量关系练习题答案(6月8日)

发布时间:2018-07-05 15:17:42     来源:中公教育

免责声明:本站所提供真题均来源于网友提供或网络搜集,由本站编辑整理,仅供个人研究、交流学习使用,不涉及商业盈利目的。如涉及版权问题,请联系本站管理员予以更改或删除。

国家公务员考试申论热点

>>> 山西近期公职类考试信息汇总

行测模拟题:行测资料分析练习题答案(6月8日)


【参考答案与解析】

1.【答案】A。解析:由图可知,水和空的部分体积之比为14∶3,因此水的体积

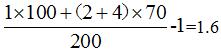
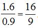
2.【答案】B。解析:由于不知道一等座的数量和价钱,题中求的又是一个比值,所以想到了用特值法。设一等座有1个,每个座位的价钱为100,则二等座数量为2,价钱为70,三等座数量为4,价钱为35。根据利润率=,可知按三个等级设置座位的利润率为: ,可得总成本为200。则将三等座都设为二等座的利润率为: ,所以所求为

3.【答案】C。解析:当两人第一次相遇时,两人共走了圈;两人第二次相遇时,共走了圈。所以两次相遇的时间比为1∶3,路程比也是1∶3。第二次相遇时第一个人走的路程是3×80=240米,故半圈为240-60=180米,一圈为180×2=360米。

查看:行测模拟题:行测数量关系练习题(6月8日)

国家公务员考试行测题库欢迎访问国家公务员考试信息网

责任编辑(车小仙儿)

免责声明:本站所提供真题均来源于网友提供或网络搜集,由本站编辑整理,仅供个人研究、交流学习使用,不涉及商业盈利目的。如涉及版权问题,请联系本站管理员予以更改或删除。
相关文章推荐
重点推荐
视频专区